网站首页
学院概况
学院简介
历史沿革
教授治学
现任领导
机构设置
行政机构
基层学科组织
基层学术组织
实验中心
师资队伍
杰出人才
教师名录
诚聘英才
人才培养
本科生招生
本科生教学
专业设置
质量工程
平台建设
培养方案
研究生培养
学位点设置
质量工程
培养方案
博士后流动站
科学研究
研究方向
平台建设
重大成果
材料与冶金学报
学生园地
学生活动
团学工作
榜样引领
党建引领
党建活动
安全工作
学校制度
学院制度
安全知识
廉政纪检
纪检活动
廉政教育
科学家精神教育基地
基地介绍
基地风采
预约方式
科学家故事
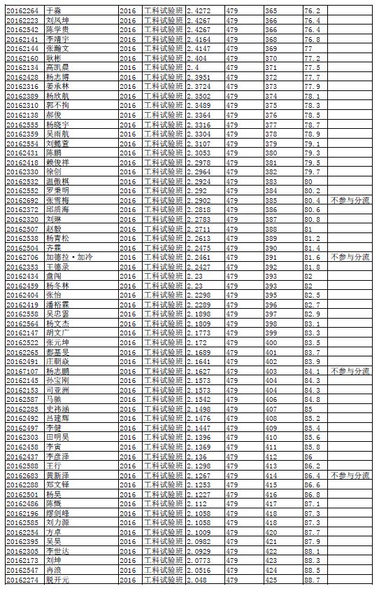
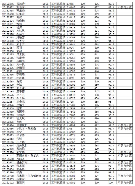
冶金学院2016级在籍学生专业排名及绩点
发布时间:2017-07-31
浏览次数:
7011